您好,欢迎来到智慧通企业创新管理服务网! 今天是: 设为首页 加入收藏
 
当前位置:首页 >> 最新动态 >> 国家级 >> 其他
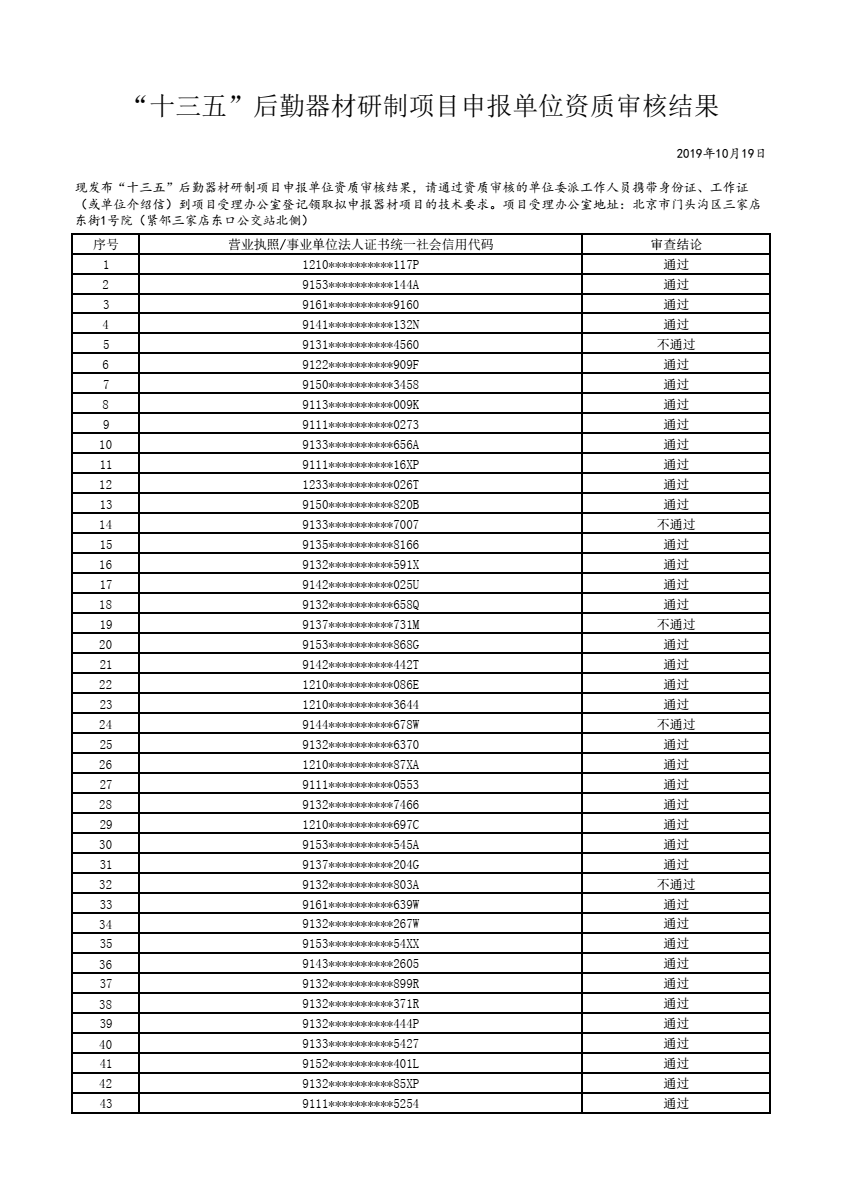
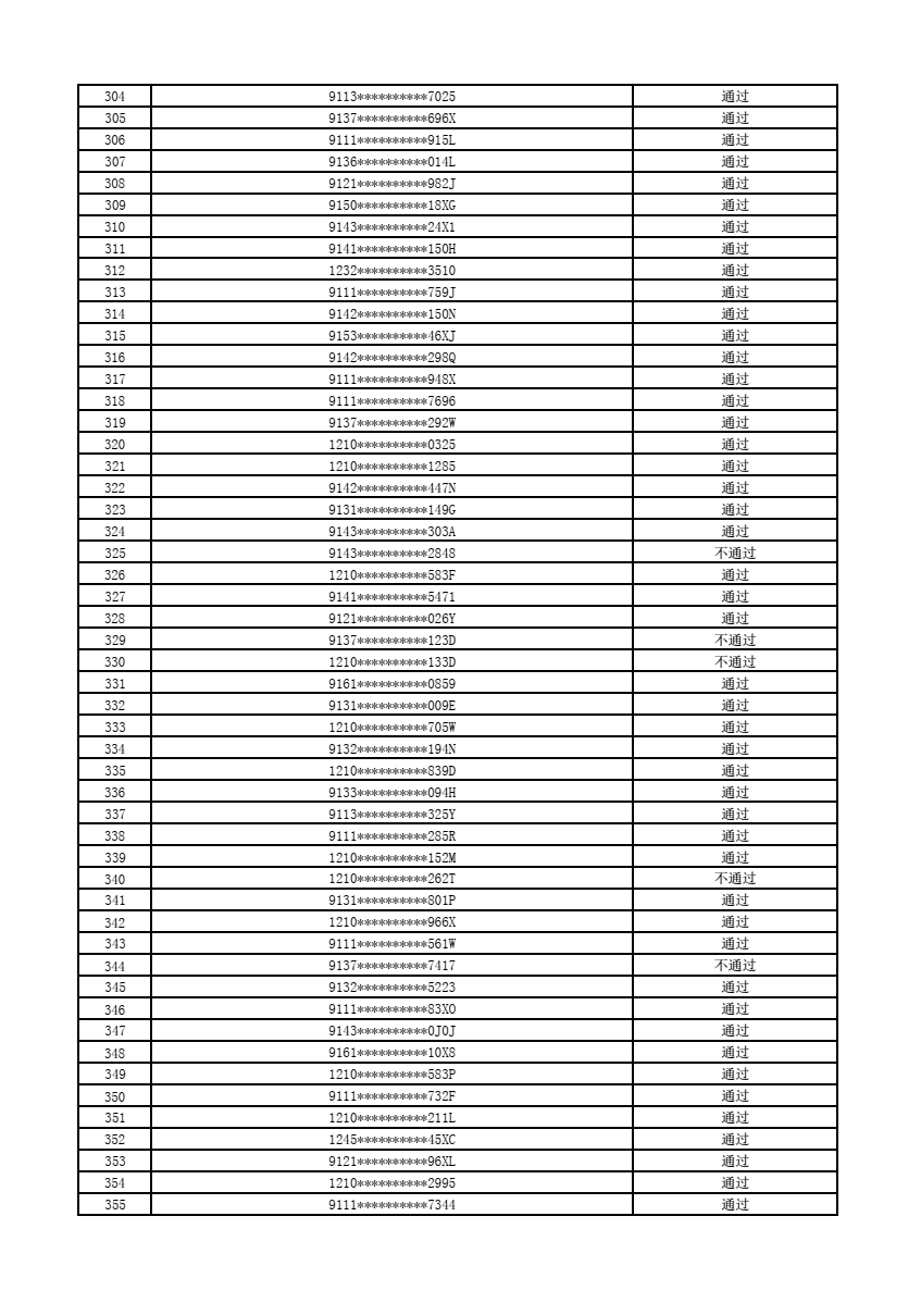
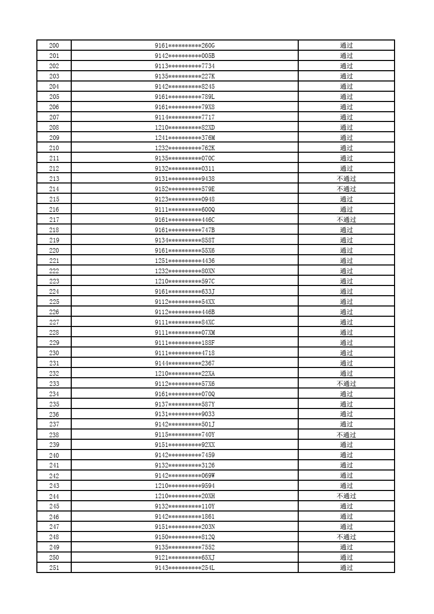
“十三五”后勤器材研制项目申报单位资质审核结果


“十三五”后勤器材研制项目申报单位资质审核结果

发布时间:2019-10-21 14:27:52    信息来源:中央军委后勤保障部


客服热线:0519-83297678 18001502158 18994758929 传真号码:0519-83297678
主办:常州智慧通创新创业策划咨询服务有限公司
地址:常州钟楼高新技术创业服务中心710室 邮编:213000 苏ICP备11078573号
技术支持:易龙科技